Location: Home >> Detail
TOTAL VIEWS
Crop Breed Genet Genom. 2020;2(1):e200003. https://doi.org/10.20900/cbgg20200003
Instituto de Ciencias de la Vid y del Vino (Consejo Superior de Investigaciones Científicas, Gobierno de La Rioja, Universidad de La Rioja), Logroño 26007, Spain
† Current address: Centro de Investigación y Tecnología Agroalimentaria de Aragón, Instituto Agroalimentario de Aragón-IA2 (CITA-Universidad de Zaragoza), Zaragoza 50059, Spain.
* Correspondence: Javier Ibáñez, Tel.: +34-941-894-980.
This article belongs to the Virtual Special Issue "Genetic Gains in Plant Breeding"
Background: There are thousands of grapevine varieties that display a wide range of variation for traits like grape use (wine, table grape or both), color or ripening time, but little is known about their reproductive performance, especially flowering and fruitset (conversion from flower to fruit). Works focused at the study of these traits in grapevine evaluated one or few varieties and used different methodologies making comparisons difficult. This study aimed to characterize the reproductive performance of 120 varieties and its stability over two seasons using a precise methodology.
Methods: Reproductive performance was determined through counting flowers and berries in the same inflorescences/bunches (10 per variety), for which a new methodology of image analysis of scanned calyptras was developed. Varieties were classified according to their reproductive performance.
Results: A great diversity was found for most variables including fruitset and number of flowers. Large differences between varieties were observed both in values and in stability among seasons. The varieties clustered in three main classes that displayed significant differences not only for the reproductive performance variables used for the clustering but for most the variables studied. Varieties in these classes showed a non-random distribution regarding the grape use and the genetic structure based on molecular markers.
Conclusions: This is the largest study of reproductive performance variables such as fruitset ever done in grapevine. It provides specific values for many varieties for the first time, useful for breeding programs. The clustering based on these variables is related with those based on use and geographical origin.
AHC, agglomerative hierarchical clustering; BSD, number of seeded berries; BSL, number of seedless berries; CI-12, bunch compactness index 12; F, number of flowers; LGO, live green ovary; PCA, principal component analysis; RP, reproductive performance
Grapevine (Vitis vinifera L. subsp. vinifera) is one of the most valuable fruit crops in the world. In 2017 it was planted in 7.4 million hectares, and the annual grape production was 73.3 million tons [1]. Most of grape production is dedicated to producing wine (249 million hl), followed by far by fresh table grapes (7.1 million tons) and raisins (1.3 million tons). Good and stable yields and high-quality fruits are essential for grape growers, winemakers and the fruit processing industry, but the desirable features are different for wine and table grape. There are thousands of varieties in the world that display a wide range of variation for traits like grape use, berry color or ripening time, but little is known about their reproductive performance.
Reproductive performance (RP) comprises a complex set of traits mainly related to flowering and fruitset (conversion from flower to fruit), principal determinants of yield [2]. In grapevine these characteristics are also related to quality, because the particular nature of its fruit: a bunch of berries. Depending on the architecture of the rachis and the number of berries at harvest, the compactness of the bunch maybe different [3] and that greatly influences its susceptibility to pest and diseases and the uniformity of the ripening, among other effects (see a recent review in [4]).
Grapevine reproductive development occurs over two consecutive seasons. Briefly, in the first season inflorescence primordia differentiate from lateral meristems in the axillary bud during spring and summer, before entering dormancy. During the second season, secondary and tertiary branching starts in the inflorescence during budswell before budburst, followed by the formation of floral primordia. Flower differentiation (floral organogenesis) starts after budburst and ends with the formation of the pistil about two weeks before flowering [5]. During blooming, pollination occurs, and some ovaries transform into berries (fruitset), which grow and ripen until harvest time.
Fruitset was defined by Leopold and Scott (1952, cited by [6]) as the “change-over from the static condition of the flower ovary to the rapidly growing condition of the young fruit”. In most crops, initial fruitset is relatively high but many fruitlets drop some weeks later (Sedgley and Griffin 1989, cited by [7]). However, this delayed drop rarely occurs in the grapevine, and the proportion of flowers that become berries is mostly determined one to two weeks after flowering [8].
There are many factors that can affect the different variables involved in the grapevine reproductive development, and many works cited along this manuscript have shown that the genetic factor (variety and clone) has great impact [2,9]. There are also many environmental factors that may influence fruitset, mainly weather conditions during pollination (like solar radiation, temperature and rainfall [7]), but also others like nutritional status [10] or soil salinity [11]. It is affected by crop management practices such as defoliation, topping or girdling [6,12,13], by the rootstock [14], or by external treatments, like gibberellins [15] or zinc and boron [16]; the literature of flowering and fruitset was exhaustively reviewed by May [7].
Although fruitset rate is a very important trait, it gives an incomplete picture of grapevine reproductive performance because it may not provide a clear indication of the expression of two important abnormal conditions known in viticulture by their French terms: coulure and millerandage [17]. Coulure refers to the excessive drop of ovaries or very young berries, and millerandage (also known as “shot berries”, or “hens and chickens”) occurs when there is an excessive number of small berries mixed with a scarce number of normal-sized berries.
Several works have studied how specific a condition or treatment affect fruitset and related traits, usually on a single variety [10,12,18–20]. Only some works included a few varieties: Coombe [21] studied the mechanism of the effect of 2-chlorethyltrimethyl-ammonium chloride (CCC) on the fruitset of six varieties. Ewart et al. [22] studied the effects of controlled day and night temperatures and nitrogen on fruitset in Cabernet Sauvignon, Sylvaner and Zinfandel. Collins & Dry [17] investigated the effectiveness of shoot topping and CCC application on the control of fruitset on Cabernet Sauvignon, Chardonnay and Tempranillo at two sites over two or three seasons. Baby et al. [23] examined the association between the reproductive performance of Shiraz, Merlot and Cabernet Sauvignon and the concentration of amines in the reproductive organs. Chkhartishvili et al. [24] studied the type of pollination and fruitset in 8 Georgian varieties. The largest study so far was done by Dry et al. [9], who presented a thorough survey on the reproductive performance of 10 wine grape varieties over 4 seasons, 4 regions and 12 sites. Thus, considering the large diversity existing in grapevine, very little information is available about fruitset and other reproductive performance traits in a wide framework of different genetic backgrounds. Bessis [25] specified that fruitset is normal at 50%, and coulure is experienced when fruitset is below 30%. Nevertheless, the number of varieties used for establishing those thresholds is not specified. In addition, the expression of coulure and millerandage is traditionally assessed visually, and only recently these traits have been quantified through the use of indices [9,17].
For the accurate estimation of the fruitset, coulure and millerandage, an accurate determination of the number of flowers and post-floral organs (seeded and seedless berries and live green ovaries, LGOs) is needed [7]. Counting flowers and berries are time-consuming tasks and different strategies have been followed to improve their efficiency. One strategy is to reduce the number of items to be counted; for instance, by assuming that any inflorescence in a variety has approximately the same number of flowers and fruitset can be assimilated to the number of berries [6,26,27]. In many cases seedless berries and LGOs are not counted, and only seeded (normal) berries are considered.
The precise determination of fruitset requires counting the flowers and berries of the same inflorescence/bunch, so it demands of a non-destructive system for flower counting. The simplest method, counting the flowers in the field, is prone to errors, and it requires of many people if there are many inflorescences to analyse because of time constraints. Instead, counting the number of flower caps or calyptras (fused petals) collected in a bag is a non-destructive valid method, because each flower releases one calyptra at blooming [9,17,18,23], which can be delayed. On the other hand, new image analyses tools have been recently developed for estimating the number of flowers from 2D images of the inflorescences, although they have usually been tested in a limited set of varieties [28–33]. Actually, the first steps have been done towards the efficient identification, localization and quantification of grapevine inflorescences and flowers in unprepared field images [34]. Also, there are some developments for counting berries [35,36], even to count separately seedless and seeded berries [37]. Nevertheless, as recently discussed by Tello et al. [33], the usefulness of 2D image analysis approaches for flower number estimation in grapevine inflorescences is limited, especially if inflorescences with different morphology are jointly analysed.
The lack of knowledge on reproductive performance variables in grapevine in a multi-cultivar frame has prevented raising some issues of global interest, such as how variable and stable is the fruitset and the incidence of the coulure and millerandage at the subspecies level, how RP variables relate to other morpho-agronomic variables, or even if it is possible to classify cultivated varieties after their reproductive performance and how this classification would relate to other genetic or agronomic characteristics? In the present work, we characterized the reproductive performance of a very diverse set of 120 grapevine varieties over two seasons, with the aim of providing the first answers to those questions based on, to our knowledge, the widest study performed on these grapevine reproductive variables.
A set of 120 wine grape and table grape cultivars was chosen to represent a high variability of the bunch morphology that is naturally present in the grapevine (Supplementary File 1). The cultivars belong to the ICVV Grapevine Collection (FAO code ESP-217) and are located at the Finca La Grajera (Logroño, Spain), owned by the Comunidad Autónoma de La Rioja. Vines were planted in the 2010 and 2011 seasons. All varieties studied had been analyzed using microsatellite and SNP markers to confirm their identity [38], and their variety number existing in the Vitis International Variety Catalogue (VIVC, http://www.vivc.de) is provided in the Supplementary File 1. In addition, all plants considered in this work are grafted on the rootstock Richter 110 and were maintained in the same way, following standard agronomical management conditions in terms of training system, pruning, soil management and pest and disease control.
Measurement of Reproductive PerformanceReproductive performance was determined from 10 inflorescences/bunches per variety over two seasons (2016 and 2017). Inflorescences were chosen among those that were representative of the variety and were inserted on the first level of the shoot, in case there was more than one inflorescence on the shoot. When possible, every inflorescence was selected from a different plant. The number of flowers (F) was estimated from the number of calyptras as described below. Inflorescences were selected, labelled and bagged before flowering (E-L 17–18, modified E-L stages according to [39]). Each inflorescence was enclosed with a fine nylon mesh bag in order to collect dropped calyptras (Figure 1A). This process is suggested to not affect fruitset [40]. After completion of flowering (E-L 27), bags containing flower caps from each individual inflorescence were removed and stored at room temperature until the caps were completely air-dried. Then, flower caps were scanned in an EPSON Perfection V370 Photo, distributing them on the scanner document table (Figure 1B,C). In some cases, the large number of caps obtained for some bunches required to distribute them in several scans. Scanning was done using the native interface, in “Document” mode, with a resolution of 300 ppp and using a black background. Digital images were used for manually or automatic counting, using a specifically designed tool developed with the open-source Fiji image-analysis software (Fiji Is Just ImageJ) [41] (Figure 1D).
Manual counting was done with Fiji (Fiji is just ImageJ) software using the option to count cells by clicking. Each click marks the item (cap) with a colored square and adds it to a tally sheet. Automatic counting of calyptras was done using an especially dedicated macro developed with Fiji software, similar to that settled in our laboratory to count pollen grains [42]. The macro can be found in Supplementary File 2. Briefly, the RGB image is split into its 3 primary channels (Red, Green and Blue), and the red channel-derived image is converted into a black and white binary image. To better separate the regions of interest (ROIs, calyptras in this case), the following commands implemented in Fiji are applied in this order: “Fill Holes”, to fill gaps in the ROIs, “Watershed” to separate joined ROIs and “Erode” to removes pixels from the edges of the ROIs. Then the “Analyze Particles” command is used to count calyptras by selecting an area threshold between 200 and 1000 pixels2.
Figure 1. Estimation of flower number per inflorescence. (A) Grapevine inflorescence in the field enclosed with a nylon bag. The small inlet at bottom left shows a just opened flower with the calyptra still attached by a single point; small inlet at bottom right shows the calyptra with the 5 fused petals. (B) Preparation of dried collected calyptras for scanning. (C) A part of a scanned image showing dried calyptras and flowers. (D) Same image section shown in C after image processing, showing in cyan the items identified and counted as calyptras.
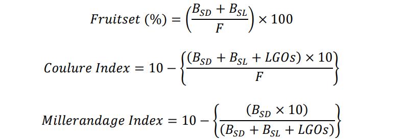
The same bunches used for flower counting, properly tagged, were cropped at harvest time (modified E-L stage 38 [39]) and transported to the laboratory. Then, several bunch traits were studied, including bunch compactness (according to OIV descriptor 204 [43]) and post-flowering organs: number of seeded berries (BSD), of seedless berries (BSL, determined by berry dissection) and of live green ovaries (LGOs). The study of these variables allowed the calculation of the following reproductive indices according to Collins & Dry [17]:

Fruitset represents the percentage of flowers producing berries (seeded or seedless). Coulure Index measures the proportion of flowers in the inflorescence that drop, or, in other words, that do not develop into either a berry or an LGO. Millerandage Index is a measure of the proportion of all the post-flowering organs that are not normal (seeded) berries, and thus it is independent of the initial number of flowers. These two indices theoretically range from 0 to 10, the higher the numerical value, the greater the degree of expression of the condition (coulure or millerandage).
In the present work, three different methods (so-called “Global”, “Average” and “Average corrected”) have been used to estimate fruitset, millerandage and coulure indices. In the “Global” method (variety-basis), all the berries, LGOs and flowers are added up within each variety before calculating its corresponding index. In the “Average” method (bunch-basis), indices are calculated for every bunch and then averaged within the variety. In the “Average corrected” method, after calculating the Average indices, they are re-calculated excluding the individual values out of the interval defined by the mean ± 1 standard deviation, for each variety.
Characterization of Grape BunchesPhenotypical characterization of the bunches was carried out on the same ten bunches selected before flowering. Apart from the variables related to the reproductive performance (RP variables) described above, other variables studied in this work were: Bunch compactness, Bunch compactness index 12 (CI-12) [44], Bunch weight, Bunch length, Bunch width, Rachis weight, Rachis length, Rachis length of the first branch and Rachis length of the second branch, as described in [3].
Statistical AnalysesThe experimental data obtained for the two seasons were analyzed both separately and jointly, in order to explain the varietal performance and its annual stability. Different analyses were used to determine the relationship between different variables measured. All calculations were done using SPSS v. 23 (IBM, Chicago, IL, USA) and XLSTAT v. 2018.5 (trial version).
Initially, ANOVA analyses were performed to evaluate the existence of differences between varieties, years, and their interaction, using the inflorescence/cluster as experimental unit. For the subsequent analyses, the variety was the experimental unit. Descriptive statistics (arithmetic mean, standard deviation and minimum and maximum values) were calculated to evaluate basic features of the data in this study. Bivariate correlations between reproductive and morpho-agronomic variables were estimated using Pearson correlation coefficients. The data obtained were subjected to an agglomerative hierarchical classification (AHC) test, choosing the model that best grouped the varieties according to the parameters considered. The classification obtained was used as a factor to study the existence of significant differences between classes through analysis of variance and the LSD tests, after checking that data fulfilled the assumptions of normality (through the Kolmogorov-Smirnov test) and variance homogeneity (using the Levene’s statistic). Principal component analyses (PCA) were performed to identify the underlying relationships between selected variables, as well as to evaluate the stability of the data structure during the two years studied. Bartlett’s tests were calculated to assess the suitability of the data to PCA.
The existence of significant relationships between the AHC based on reproductive variables and other characteristics of the varieties studied (pollen viability, chloroplast genome type (or chlorotype), grape use, genetic structure) was evaluated by contingency tests. In the cases of significant non-random distributions, analyses of variance and LSD tests were done for the Fruitset Global rate to test the existence of significant differences between the corresponding groups.
Establishing the fruitset rate on a bunch-basis demands a non-destructive method for the estimation of the number of flowers of every inflorescence. For that, a total of 1301 digital images containing calyptras were obtained in 2016 and 1429 in 2017, which required of an image-based approach to allow the efficient acquisition of the data (Figure 1). These images were used for manual and/or automatic counting of calyptras. Apart from the calyptras, images contained other elements, mainly drop flowers (Figure 1C,D), but also debris and broken calyptras, which hindered the automatic counting. Manual counting was thus used as a control for the automatic counting done with an especially dedicated macro (Supplementary File 2). Thus, one (in 2016) or two (in 2017) images of each variety were used as a reference, and their calyptras were counted both manually and automatically. The differences between the counts were evaluated and results are presented in Table 1. In 2016, a considerable number of cultivars was used to set up the phenotyping approach testing different parameters. Therefore, only the images taken with the final method were comparable to those of 2017 and considered in Table 1. The average differences between the manual and automatic counts were low, 6.51% (2016) and 8.14% (2017) and for 72–80% of the varieties differences observed were below 10%. A Bland-Altman plot was constructed for each season dataset for the visual evaluation of method accuracy (Supplementary File 3). The plots show few values out of the upper and lower confidence limits of agreement (95%), and a greater dispersion in the 2017 data, but there is no biased trend towards overestimation or underestimation depending on the number of calyptras of the image.
To improve the accuracy of the data used for the calculation of the reproductive variables, calyptras from all images of a variety were manually counted if the difference between the manual and automatic count of the reference image was above 12%. When the difference was lower than 10%, the automatic counting approach was considered as satisfactory and it was used for the remaining bunches of the variety. If the difference was between 10% and 12%, an additional image was manually counted, and the difference found was used to decide if the rest of the images of the variety were manually counted, when the difference was above 12%, or the automatic values were used, in any other case. Besides, all the images of 2016 taken with different scanning parameters for the set-up of the phenotyping approach (those not included in Table 1) were manually counted. Considering the two years, a total of 1,164,296 calyptras were counted, of which 657,019 were manually counted (53% of the images).
Variation for Reproductive Performance VariablesANOVA analyses of global data showed significant differences (p-value < 0.001) among varieties and among seasons in almost all the variables studied, and also for the interaction variety × season, indicating the existence of genotype × environment interaction. Only in the case of the variables Millerandage index, Bunch compactness, Seedless berries and Rachis length 2nd Branch, the differences between seasons were not significant. To further assess the variability detected, the average values of the ten inflorescences/clusters for each variable were calculated for each variety and season. Table 2 shows the mean values for the different variables considering those average values for all the varieties during the two seasons. The whole average data per variety (2016, 2017 and 2016–2017 average) is shown in Supplementary File 4. For most variables studied, values in 2016 were larger than in 2017, including number of flowers, number of berries and fruitset rates. Likewise, bunches were larger and heavier in 2016. Considering the average of the two seasons, fruitset was ca. 43%, while the number of flowers per inflorescence was 523. The number of normal (seeded) berries per bunch was 170 while mean values of seedless berries and LGOs were below 13.
The range of variation studied is extremely wide for most variables, as seen from minimum and maximum values (Table 2). Fruitset shows a range of variation (among varieties) of more than 90% every year. The anomalous maximum fruitset rates above 100% obtained for a few varieties in 2016 (and minimum values below 0 for Coulure Index) indicate that the number of flowers was underestimated. A likely explanation is the retaining of some caps in the inflorescence, which were not collected in the bags. In 2017, bag collection procedure was improved, and inflorescences were smoothly shaken to release and collect the maximum number of calyptras.
There were small differences between years for average Millerandage Index, although maximum value was larger in 2017. Average Coulure index was slightly lower in 2016, with similar ranges of variation both seasons.
Stability of Reproductive Performance VariablesInter-annual differences in the fruitset rate were calculated (Table 3). Considering the 120 varieties analyzed, we obtained a maximum variation in fruitset of 46% (for variety Alfrocheiro), while the minimum value was 0% (Bakarka, Derechero de Muniesa, Touriga Nacional, Verdejo Blanco, Zalema). This reflects a remarkable diversity in stability among varieties that is not only observed for the fruitset, but also for most of the parameters analyzed. Looking at the mean differences, values are about 9-10% for fruitset, what represents about 22% of the mean fruitset value (43–45%, Table 2). A similar value (24%) was obtained for the number of flowers, while was higher (29%) for seeded berries. The inter-annual stability of the bunch compactness is especially noteworthy. It proves to be a trait closely linked to the genotypic characteristics of each variety, and for which different components interact to produce a similar outcome every year.
To evaluate if differences between years were consistent between varieties, bivariate correlations were calculated (Figure 2, diagonal). All correlations were significant with coefficients above 0.7, but for millerandage (0.6), seedless berries (0.5) and LGOs (0.5).
Table 3. Summary descriptors for the differences in absolute value between the mean values obtained each season (2016–2017) in each variety for the grape bunch characteristics evaluated in this study: Number of varieties (N), mean ( x̄ ), standard deviation (SD), minimum (Min) and maximum (Max) values. Mean differences were significant (p-value < 0.001) for all the variables.
Relationships between traits were studied through correlation analyses each year separately (Figure 2).
Regarding the significant relationships between RP variables, Fruitset and Coulure measures correlated strongly and negatively both years, while all correlation values involving Millerandage were low (or non-significant). In the same way, Fruitset and Coulure correlated moderately with the number of Flowers, but correlation was low or absent with the different post-flowering organs; only correlation between Fruitset and Seeded berries was stable the two seasons. Interestingly, the correlation between the number of Flowers and of post-flowering organs was low or non-significant.
RP variables correlated with other variables studied. As expected, bunch compactness correlated positively with Fruitset, Seeded berries and Bunch weight and negatively with Coulure, Millerandage, number of Flowers, Bunch length and Rachis lengths. Bunch and Rachis size variables correlated moderately and negatively with Fruitset and positively with Coulure.
As detailed above, three methods were used to estimate fruitset, millerandage and coulure indices for each variety (Global, Average and Average corrected). This was done because the number of flowers per inflorescence vary between inflorescences of the same vine and from vine to vine. Compared to the Global calculation, in the Average calculation the bunches with lower number of flowers are favored. The Average corrected calculation focus on the less dispersed values.
The results showed that there are no large differences between the methods considering mean values, as shown in Table 2 and Supplementary File 5. Regarding fruitset, there are few varieties showing differences between methods larger than 10% (10 varieties in 2016 and 3 in 2017, Supplementary File 5), and the mean of the major differences was 4.40%, half the mean of the differences between the two seasons, indicating that the season influenced more the fruitset rate than the calculation method (Table 3, Supplementary File 6). A general trend can be observed where the Global calculations generated the lowest values and the Average calculations the highest (Supplementary File 6). Thus, Fruitset Average was the highest value in 75 varieties and the second highest in the remaining 45 in 2016 (58 and 54 in 2017), while Fruitset Global was the lowest value in 74 varieties and the second lowest in 41 in 2016 (82 and 31 in 2017).
For the Coulure Index the behavior was quite similar to the fruitset, while the Millerandage Index showed very low values and variation in this study (Supplementary File 5). Considering these results, only the Global values were used for the following analyses.
Classification of Grapevine Varieties after Their Reproductive PerformanceExploratory data analyses showed that the number of LGO was not relevant to explain the differences in reproductive behavior between the different varieties. In addition, analyses using the remaining six RP variables (Fruitset Global, Millerandage Index Global, Coulure Index Global, Flowers, Seeded Berries and Seedless Berries) with data from a single season (2016 or 2017) and with the means of the two seasons produced similar results (data not shown). For that reason, only results with the mean data of the two seasons are shown. An agglomerative hierarchical clustering (AHC) carried out with these six variables allowed to classify the 120 varieties studied into three clearly differentiated classes. A PCA analysis based on these six variables supported this clustering, as few varieties could be considered as outgroups (Figure 3). The figure also illustrates the relationships between the different variables, especially Fruitset and Seeded berries, almost on orthogonal lines and Number of flowers in an intermediate situation regarding F1 and F2 components.
Mean values for the studied variables in the three classes are shown in Table 4. For the six RP variables, these values correspond to the centroids found in the AHC. Analysis of variance and LSD tests showed that the differences are significant for all the RP variables studied except Millerandage Index, and between all the three classes, except in the case of the number of seedless berries. Apart from the RP variables, the three classes also differed significantly for all the other variables studied (Table 4).
Class 1 contains 47 of the 120 varieties, including well-known varieties such as Alfrocheiro, Chardonnay, Gamay Noir, Gewuerztraminer, Monastrell, Muscat à Petits Grains Blancs, Pinot Noir, Sangiovese, Sauvignon Blanc or Tempranillo (Supplementary File 4). Varieties in this group are characterized by higher fruitset rates and lower coulure values. Likewise, they present the significantly lower number of flowers of the three classes. In addition, they showed an intermediate number of seeded berries and a medium-compact bunch (Table 4).
Class 2 includes 50 varieties, such as Afus Ali, Alphonse Lavallée, Cabernet Franc, Cabernet Sauvignon, Cot, Dabouki, Italia, Muscat Hamburg, Riesling Weiss or Trebbiano Toscano (Supplementary File 4). These varieties present the lowest fruitset rate and the highest Coulure Index, while having an intermediate number of flowers. Besides, these varieties showed the lowest number of seeded berries and the loosest bunches.
Class 3 is the smallest group, clustering only 23 varieties like Airen, Aubun, Bobal, Beba, Cayetana Blanca, Clairette Blanche, Listan Prieto, Nehelescol, Pedro Ximenes or Planta Nova (Supplementary File 4). These varieties showed the largest values for most of the variables, especially those related with the bunch and rachis size, and they stand out by the higher number of flowers, close to 1000 per inflorescence in average, and of seeded berries. Instead, this group of varieties showed intermediate fruitset and Coulure Index values.
Relationships between RP Variables, AHC Classification and Other CharacteristicsThe classification of the varieties according to their reproductive performance was examined considering other agronomic, reproductive and genetic features known in previous studies (Supplementary File 1), namely grape use (table, wine, both, according to the Vitis International Variety Catalogue, VIVC [45]), pollen viability rate [42], chlorotype (A, B, C, D, after VIVC [45]) and genetic structure in the set of varieties as established by microsatellite markers [38]. No significant relationship was found between the classes obtained in the AHC and pollen viability [42] or chlorotype data. Instead, significant differences were found when considering the grape use among the different classes set by the AHC analysis (p < 0.0001). Differences were especially clear between class 1, which does not include any table grape variety, and class 2 which includes all table grape varieties but three. Interestingly, the varieties grouped according to their grape use differed significantly in their mean fruitset rate (Table 5).
Wine varieties show a significantly higher value for mean fruitset (51%) than table and wine/table varieties, showing a mean value that doubles that of table varieties (Table 5). These mean values represent properly what happens individually, as shown in Figure 4, where table grape varieties appear in the left part of the figure, with lower fruitset rates, and the right part of the figure mainly by wine varieties.
For a similar set of varieties Tello et al. [38] determined the existence of a genetic structure of 3 genetic populations based on 9 microsatellite markers, which has been extended to 25 markers (Zinelabidine et al., in preparation). The possible relationship of the classes obtained in base to the RP variables with that genetic structure (99 common varieties, Supplementary File 1) was evaluated through a contingency table and chi-square test. A non-random distribution (p < 0.0001) of the varieties of the different populations was found among the different classes established in the AHC analysis (Table 6). Pop 1 is the smallest population; it includes mainly table grape varieties, some of them with Muscat flavor and shows the lowest fruitset. Pop 2 includes French and central Europe wine varieties, as well as some wine Iberian varieties partly derived from them; it presents the highest fruitset (p < 0.0001). Finally, Pop 3 is mostly formed by Iberian wine, table and wine/table varieties, and shows an intermediate fruitset value that does not differ significantly from that of Pop 1.
The possible influence of the admixture existing in these 99 varieties in the results obtained was evaluated by repeating the analysis using only those varieties with a membership coefficient to the corresponding population above 0.7 (84 varieties in total, Supplementary File 1). Results obtained were very similar to those already shown.
An important number of works dealt with the study of grapevine reproductive performance, especially fruitset, but most of them are based on one or a few varieties. Many of these works show that the reproductive performance of a variety is influenced by many factors, but also indicate the existence of a genetic component, whose relevance at a multi-cultivar level is unknown. These works also showed different ways to measure fruitset, but we agree with Collins & Dry [17] that flower number per inflorescence may vary significantly between inflorescences on the same vine and from vine to vine, and, therefore, the only valid method for the accurate determination of fruitset should be based on the assessment of both flower and berry number in the same inflorescences/bunches. We followed this guideline to generate, to our knowledge, the largest number of grapevine reproductive performance data ever obtained in a global framework.
Estimation of Flower NumberIn 2015, we tested a method based in the analysis of 2D images of inflorescences and the subsequent estimation of flower number by linear regression analyses (data not shown). Regression models were obtained by counting the visible flowers in field images of inflorescences, which, after photographed, were collected and brought to the laboratory to count the actual number of flowers. The linear regressions were then applied to other images of inflorescences which were kept in the field until harvest. This method is similar to the one described by Poni et al. [28] and used later by Acimovic et al. [12]. Because of the large diversity existing in the collection of grapevine varieties used, the visible number of flowers in the images and the real number of flowers were not consistent across the varieties. Recently, the number of flowers occluded by stem or other flowers has been estimated from 20–25% in loose inflorescences to 50–55% in dense inflorescences [33]. This inconsistency resides in the diverse architecture of the inflorescences in different varieties, what makes that the proportion of “hidden” flowers in the 2D image changes greatly between varieties. As a result, a case-by-case validation step is required for each variety, which is unpractical for wide research studies. Similar problems are expected with other methods for estimating the number of flowers in grapevine inflorescences based on 2D image analysis that have been recently proposed [30,32,46]. They are surely useful for certain purposes in the varieties tested, but not in this case because the very different type of inflorescences in the different varieties studied.
For that reason, we opted for an alternative method in 2016 and 2017, based on the direct counting of the calyptras. The method used to estimate the number of flowers through the automatic counting of the calyptras is 100% reliable (it produces exactly the same results every time it is run on the same image), and valid. In principle, it is a valid measure of the number of flowers because each flower has one and only one calyptra, but it must be correctly released from the flower and collected in the bag, and they have to be carefully handled to avoid breaking dried calyptras. Regarding the accuracy, the method is very precise for about half of the varieties (differences with the manual counts lower than 5%), and precise for 75–80% (differences lower than 10%). It still needs to be improved for the 20–25% of the varieties for which the differences with the manual counting are larger than 10%. Interestingly, 8 out of the 12 varieties which were included in this group in 2016 also showed differences above 10% in 2017, indicating possible intrinsic characteristics that hinder the macro to correctly count the calyptras. In most of these cases (7), the automatic counting underestimated the number of calyptras. We could not see any common pattern to explain it, nor found any common feature among these varieties regarding the reproductive variables, grape use or other genetic characteristic. In most cases of overestimation of the number of calyptras, we observed that big flowers dropped in the bag could be counted as calyptras.
Differences between Global, Average and Average Corrected CalculationsOne aim of this work was to establish how variables like fruitset, coulure and millerandage should be calculated in grapevine: on a variety-basis or on a bunch-basis and, in the latest case, with or without correction (eliminating or not extreme values). We did not asses the calculation on a plant-basis, i.e., counting the flowers and post-flowering organs of several (ideally all) inflorescences/bunches of several different plants of each variety. This would have been interesting, considering that diverse factors affecting to the whole plant (such as its nutrition status) might influence the vine to compensate the degree of setting in the different inflorescences of the plant [7]. Nonetheless, this approach is unpractical considering the large number of varieties analyzed in this work. The use of just one inflorescence/bunch per plant prevented the possible lack of statistical independence that would have occurred in case of using several ones of the same plant, while keeping the robustness of the measures by including a considerable number of different plants (10) per variety. In general, our results did not show major differences between the three methods studied although Global calculations tend to produce the lowest values and Average measures the highest. Regarding fruitset, and considering only the major differences above 10%, in 2016, in six out of the ten cases the lowest value was in the Global measure, and in 2017 the same occurred in the three cases observed. Only the variety Gouveio showed major differences above 10% both years (Supplementary File 4), but the variables with the highest and lowest values were different each year, demonstrating the inexistence of clear trends.
In conclusion, any of the three methods proposed for fruitset, millerandage and coulure (Global, Average, Average corrected) could be used. Average corrected is more conservative than Average and, in case that all or several bunches in a plant were measured, the Global calculations would be the more appropriate way to estimate fruitset.
Variation for Reproductive Performance VariablesThe most remarkable point of the survey is the huge amount of variability found for all the reproductive performance traits analyzed. The mean Global Fruitset in the two seasons was around 43%, a similar value to that previously found in 10 wine varieties over 4 seasons, 4 regions and 12 sites (42%) [9], while the mean fruitset of 8 Georgian varieties was 34.4% [24]. On the other hand, larger differences were found compared to those works regarding the range of variation, which is expected by the higher number of varieties used here. Still, Dry et al. [9] found fruitset values between 31.6% and 50%, but they correspond to average values of four seasons, four regions and 12 sites, so the real range of variation must be much larger. Chkhartishvili et al. [24] found fruitset values between 16.9% and 61.9%, in comparison with the range between 10% and 99% found in this study.
The highest fruitset values were observed in old wine grape varieties, headed by the Iberian variety Siria (known as Cigüente in Spain), with 99.2%, and followed by Alfrocheiro (97.4%) and Gouveio (91.2%), other two Iberian varieties that are descent of Savagnin. This variety, also known as Traminer, is a very spread European variety which cultivation dates back at least 900 years [47]. Although Savagnin was not included in the study, its color mutant (Gewuerztraminer) was, and showed a very high value for the fruitset rate too (90.8%). These results clearly confirm the importance of the genetic contribution to these reproductive performance variables.
The varieties with the lowest values for the Global Fruitset were Trieste (10.5%) and Ruby Cabernet (12.5%), two bred varieties. This type of varieties, and especially table grapes, were commonly found in this part of the range, together to traditional old varieties like Nehelescol (14.4%). Trieste and Nehelescol are by far the varieties with the highest number of flowers per bunch: in average 2477 and 2147, respectively, followed at a considerable distance by Listan Prieto (1214 flowers). In addition, Nehelescol was found to be one of the varieties with the highest number of seeded berries, and presented the largest bunch and rachis length values, although in our conditions it did not reach the size of 1 meter mentioned in Galet [48].
Considering the average of all the varieties the two seasons (Table 2), the mean value of seeded plus seedless berry numbers (170.68 + 12.82) divided by that of flower number (524.84), give place to a fruitset value of 35%, which can be considered as a reference fruitset value for the cultivated grapevine. This value is equivalent to sum all the berries from all the plants studied and divide it by the sum of all the flowers. It is slightly lower to the varietal fruitset mean (43%), indicating that bunches and varieties with the largest number of flowers have lower fruitset since they have more weight in this calculation.
In this work, we present RP data of many grapevine varieties for the first time, representing a highly relevant source for future studies. Nevertheless, some data can be found in the literature for several varieties, which allow us to compare our results with those observed in other regions. Poni et al. [28] found a fruitset of 43% for Trebbiano (28% here) and 35% in plants of Sangiovese cultivated in pots (51% in this work). Chkhartishvili et al. [24] described a fruitset rate for free pollination in Alexandroouli of 20% (34% here). Collins & Dry [17] found fruitset rates ranging from 42% to 74% for Chardonnay (76% in this work), 25–34% for Cabernet Sauvignon (23%) and 50% for Tempranillo (66%) in different sites and seasons. Fruitset values for the same varieties averaged over seasons, regions and sites fell within those intervals in [9]. Baby et al. [23] found large differences between Merlot, 26% (44% here), Cabernet Sauvignon, 36% (23%) and Shiraz (Syrah), 67% (74%). Finally, Acimovic et al. [12] described fruitset rates in Pinot Noir between 27% and 38%, which are quite lower than the 58% found in this work. Obviously, part of the differences obtained between our results and those previously reported can be attributed to the different environmental conditions, and, very possibly, the different clones analyzed. In this line, it would be of real interest the analysis of the RP of different clones under one single condition.
The differences observed in diverse studies for specific varieties may have been caused by a genetic predisposition to a lower stability in the RP variables. In this study, the average differences between seasons were low or moderate for all the variables, generally below 25% of the corresponding average value (9% for the Global Fruitset, 21% of the average value). Nevertheless, the differences were not consistent across the varieties. For 45 varieties, including Trieste, Sauvignon blanc, Nehelescol or Cabernet franc, the difference observed in the fruitset rate between 2016 and 2017 was below 5% (absolute value). Most of varieties (55) displayed larger (above 5%) fruitset rates in 2016 than in 2017, including Siria (6% difference), Pinot Noir (7% difference) or Syrah (10% difference). Fourteen of these varieties showed differences larger than 20%, including many of the varieties with the largest fruitset values, like Alfrocheiro, Gouveio or Gewuerztraminer, but also others like Alexandroouli. Finally, 20 varieties presented the opposite situation: their fruitset was higher in 2017 than in 2016 (>5%), including Merlot (5% difference), Trebbiano (7% difference), Tempranillo (12% difference), or Cabernet Sauvignon (17% difference). Again, it seems that there is an important genetic component in the way different varieties react to the same environmental conditions.
Coulure Index and fruitset correlated very well in this work because of the low number of LGOs observed in general. When LGO is 0, Coulure Index is the inverse measure of fruitset. Thus, all the considerations mentioned above for the fruitset can be directly (inversely) applied to coulure. The mean value (of varieties and years) found in this study for the Global Coulure Index is above 5 (range 0 to 9). Collins & Dry [17] reported a value of coulure ranging between 1.4 and 3.9 for Chardonnay (2.0 in this work), depending on the season and site, while Cabernet Sauvignon ranged from 5.5 to 6.1 in different seasons (7.3 in this work). A mean value of 3.6 was reported by Dry et al. [9] for 10 varieties, a lower value than the one found here, likely because of the large number of LGOs found in that study (48.7 LGOs, we found 11.8). Baby et al. [23] also found a high Coulure index in Cabernet Sauvignon (5.5), and lower in Merlot (4.2 vs. 5.1 here) and Shiraz (3.3 vs. 1.3 in this work).
According to Bessis [25], fruitset is normal at 50%, similar to the 51% found in this work for wine grape varieties (Table 5), while coulure is experienced when fruitset is below 30%, which would correspond to a Coulure Index of 7 (without considering LGOs). The mean value obtained here for the set of 120 varieties is well below that threshold, but there are 37 varieties which present a mean value for Coulure Index above 7. Most of them are table grape varieties, for which fruitset values below 50%. are common. The suggested threshold of 30% for coulure was probably obtained from a less diverse set of varieties, and it seems more indicated for wine grape varieties.
The variation of Millerandage Index also covers a wide range of values (0 to 7), but the mean value (1.32) can be considered as relatively low compared to the mean value of 3.3 previously reported obtained for 10 wine grape varieties, with a range of 1.7 to 5 [9]. In this work, only Katta-Kourgan displayed a Millerandage Index above 4, reaching a mean value of 7.2 (5.4–8.9). Baby et al. [23] found a range from 1.4 (Shiraz) to 6.5 (Merlot) and [17] from 1.2 (Tempranillo) to 3.7 (Cabernet Sauvignon). Recently, Wang et al. [49] found a Millerandage Index of 1.78 and 2.02 in two seasons in Semillon (1.5–2.7 in this work), and 3.39–4.1 in Shiraz (Syrah, 1.2–1.7).
Classification of Grapevine Varieties after Their Reproductive PerformanceThis work presents the first classification of a large collection of grapevine varieties according to their reproductive performance. Our classification is very robust, as significant differences among the classes were found in all the variables studied but for Millerandage and LGO number. Indeed, for most of the variables, each of the three classes have a mean value significantly different from those of the other two classes. These results clearly point out the existence of genetic differences among the varieties of the distinct classes affecting many traits related to the reproductive development.
The existence of relationships between the AHC based on the RP variables and other related characteristics was also evaluated. Effective fruitset is underpinned by successful pollination, pollen tube growth and fertilization processes. Chkhartishvili et al. [24] showed a direct relationship between pollen viability (evaluated by differential pollen grain staining) and fruitset in a set of eight Georgian varieties. Similarly, Baby et al. [23] found differences in fruitset between three grapevine cultivars related to differences in pollen viability and amine concentration in flowers. In this work, we did not find any relationship between pollen viability measured by the Alexander staining method [42] and the classification based on the RP variables.
Chloroplast genome is maternally inherited in the cultivated grapevine, where few different chlorotypes have been observed, and these differences have been related to the grape use and the geographical and genetic origin of cultivars [50]. In this work we did not find significant differences among the three classes obtained by the AHC analysis regarding the four different chlorotypes. Nevertheless, we did find a relationship between the AHC classes and the grape use and the genetic structure. Grape use is a feature that transcends the berry characteristics, it affects many other traits, and a considerable level of genetic differentiation between table and wine cultivars has been detected using molecular markers [51]. Table grape and wine grape varieties partially come from different genetic pools [52], they have different predominant chlorotypes, with C and D being the most common in table grapes [45], and have different patterns of genomic and phenotypic diversity [53]. All these differences are the result of the human selection related to cultural aspects where religious uses have been determinant [53]. The various studies on the genetic structure of cultivated grapevine have consistently indicated that grapevine varieties group according to their grape use and geographical origin [54–56]. Three main groups are found consisting in (a) wine cultivars from western regions, (b) wine cultivars from the Balkans and East Europe, and (c) a group mainly composed of table grape cultivars from Eastern Mediterranean, Caucasus, Middle and Far East countries. In a second level of the genetic structure it appears a geographic group from the Iberian Peninsula and Maghreb that breaks down from (c), and a group comprising table grapes of recent origins from Italy and Central Europe that separates from (b) [54]. In this work the three populations may be assigned to some of them. Pop 1 is a small population, with several Muscat flavor varieties, and contains eight out of the eleven table grape varieties included in this analysis; it would correspond to the last-mentioned population: table grapes of recent origins from Italy and Central Europe. Pop 2 corresponds to a population of mainly wine cultivars from western regions, with 31 wine varieties and 5 wine/table varieties. Pop 3 is the largest one (50 varieties) and it corresponds to the Iberian Peninsula and Maghreb group. The relationship between the genetic structure and the grape use is clear in the set of varieties used through their relationship with RP variables, and is further demonstrated by a contingency analysis (p-value < 0.0001, data not shown).
The characterization of the reproductive performance of grapevine varieties is relevant for both basic and applied research, and it is paramount for diverse breeding approaches. Here, we present the largest study of this nature ever done in grapevine, using a diverse collection of 120 varieties of different use and origin. Although the reproductive performance of a variety can vary according to environmental conditions (or if different clones are tested), this survey provides reference starting point values for many varieties for the first time. Large multi-varietal studies are very informative and valuable, and here we observed a large range of variation for different variables related to reproductive performance, including Number of flowers, Number of berries, Fruitset rate and Coulure Index. This variability and the differences in stability between varieties proves that the genetic component has a major impact on the reproductive performance in grapevine. Besides, the relationship between the classification based on the reproductive variables and the genetic structure, related to the grape use and geographical origin, confirms the importance of the genetic background. These findings open the possibility for future studies aimed to analyze the genetic architecture of the traits involved in the grapevine reproductive performance and to understand the molecular basis of these processes.
Supplementary File 1 (SF1): Plant material (32 KB)
Supplementary File 2 (SF2): Macro for automatic counting of calyptras in RGB images in a black background using FIJI (ImageJ) (2 KB)
Supplementary File 3 (SF3): Bland-Altman plots representing the individual differences between manual and automatic counting of calyptras with respect to the mean values, for 2016 (N = 59) and 2017 (N = 120) (99 KB)
Supplementary File 4 (SF4): Morphological data (2016, 2017 and the average of the two seasons) in 120 varieties (115 KB)
Supplementary File 5 (SF5): Summary of the differences between Global, Average and Average corrected calculations for Fruitset, Coulure and Millerandage indices in 120 varieties (12 KB)
Supplementary File 6 (SF6): Figure showing fruitset values using different calculations (Global, Average, Average corrected) and seasons (2016, 2017). Varieties are in increasing order according to Fruitset Global values in 2016 (1308 KB)
All data generated from the study are available in the manuscript or supplementary files.
JI designed the study. SI, JG, EB and JI performed the experiments. EB analyzed the calyptras data. SI and JI did the statistical analyses. JI wrote the paper with input from all authors.
The authors declare that they have no conflicts of interest.
This research was funded by the Spanish Government through MINECO (AGL2014-59171R). J. Grimplet was funded by the Spanish Government through MINECO (RYC-2011-07791).
We thank J.L. Pérez Sotés and all people responsible for and working in the field collections, most from Gobierno de La Rioja. We thank S. Hernáiz, M. Angulo, M. I. Montemayor and L.H. Zinelabidine for technical assistance, and Dr. J. Tello for critical reading of the manuscript.
1.
2.
3.
4.
5.
6.
7.
8.
9.
10.
11.
12.
13.
14.
15.
16.
17.
18.
19.
20.
21.
22.
23.
24.
25.
26.
27.
28.
29.
30.
31.
32.
33.
34.
35.
36.
37.
38.
39.
40.
41.
42.
43.
44.
45.
46.
47.
48.
49.
50.
51.
52.
53.
54.
55.
56.
Ibáñez J, Baroja E, Grimplet J, Ibáñez S. Cultivated Grapevine Displays a Great Diversity for Reproductive Performance Variables. Crop Breed Genet Genom. 2020;2(1):e200003. https://doi.org/10.20900/cbgg20200003

Copyright © 2020 Hapres Co., Ltd. Privacy Policy | Terms and Conditions