Location: Home >> Detail
TOTAL VIEWS
Crop Breed Genet Genom. 2021;3(1):e210002. https://doi.org/10.20900/cbgg20210002
1 Dryland Agricultural Research Institute (DARI), Sararood Branch, Agricultural Research, Education and Extension Organization (AREEO) , Kermanshah, 6744111317, Iran
2 International Center for Agricultural Research in the Dry Areas (ICARDA), Rabat, 6929, Morocco
* Correspondence: Reza Mohammadi.
This article belongs to the Virtual Special Issue "Durum Wheat: Ancient Crop, Modern Challenges"
Fourteen promising durum wheat lines, representing the elite durum germplasm for rainfed conditions, along with three check cultivars were assessed under drought and irrigated conditions for three growing seasons. The main objectives were to (i) evaluate the agronomic performance of durum wheat genotypes under different moisture stress conditions (mild, moderate, severe) and (ii) investigate the traits significantly contributing to drought tolerance. Combined ANOVA across environments for grain yield and the traits studied showed significant differences (P < 0.01) for genotype, year, moisture condition, year × moisture condition, genotype × year, and genotype × moisture condition interactions. There were differences in trait associations across the years and moisture conditions showing that the traits were significantly affected by the year and moisture conditions effects. Heading date, plant height, spike length and SPAD-reading with low ratio of σ2ge/σ2g showed a high value for heritability. Genotypes showed specific adaptation to different environmental condition as supported by significant (P < 0.01) for genotype × moisture condition interaction. Heading date, peduncle extrusion, plant height, days to maturity and 1000-kernel weight with lower genotype × moisture interaction than grain yield, were the traits contributing the most to drought tolerance. It is concluded that these traits could aid in the selection of durum wheat subject to moderate and severe stress, particularly in early generations. Under severe water stress condition, earliness to heading was an important drought escape mechanism, but inherent drought tolerance could be inferred from responses of a few genotypes. To determine effects of GE interaction on grain yield, data were subjected to GGE biplot analysis, which identified breeding lines G16, G12, G15 and G10 as the most stable and high yielding genotypes across different moisture stress conditions that can be used in convergent durum breeding program to develop drought tolerant varieties. The breeding lines which out-yielded the check cultivars are the stand out as the best promising germplasm but present different sets of favorable traits under stressed or favorable conditions.
Wheat is one of the major cereal crops in the world and provides about 20% of the calories of the world’s population [1]. Durum wheat (Triticum turgidum L. var. durum) represents for less than 10% of total wheat production [2], playing an important role in food security for urban populations in small geographical areas [3]. Drought stressed regions, including in Iran, are defined as those mega-environments (MEs), where water availability, mainly through precipitation, is less than 500 mm [4].
An increase in weather extremes has been recorded in recent years [5]. Climate change scenarios in Mediterranean environments predict less rainfall over the next 100 years, predicting higher frequencies of severe droughts; thus, the development of drought-tolerant cultivars is essential for maintaining high and stable productivity. Genetic variability in germplasm collections is important for generating improved varieties with desired characteristics that help to increase crop productivity that can improve food supplies, employment and incomes and thus enable adequate nutrition [6,7].
Although physiological traits regulate the uptake, use, and distribution of resources such as carbon, water, and nutrients and finally determine growth and reproduction [8], yield is used as the main criterion in the selection of wheat varieties for dry Mediterranean environments. It has been proposed that selection of genotypes using yield assisted by morphological and physiological traits associated with yield under the drought stress is more efficient in selecting high yielding genotypes for dry environments [9].
Investigations on drought tolerance variation were extensively reviewed and reported in wheat [10,11]. The relative extent of specific adaptation to drought-prone and moisture-favorable conditions as indicated by the size of the relevant genotype × environment (GE) interaction can help to define adaptation targets and selection environments for crop breeding. Knowledge of traits associated with drought tolerance would be useful for developing breeding materials for target environments. Efforts have been made to enhance the efficiency of selection for drought-tolerant genotypes based on yield and specific physiological traits [10].
Several studies have addressed yield under drought stress as a function of single physiological traits in attempts to understand which metabolic processes and/or morphological traits are crucial in ensuring high yield performance under a wide range of environments [10,12,13]. In a study conducted with durum wheat, Mohammadi et al. [14] demonstrated how yielding capacity is related to an environment-related agro-physiological trait such as canopy temperature, SPAD reading, plant height, flag-leaf length and heading date, which suggests that these traits could be useful for screening durum wheat genotypes for drought tolerance.
A good plant breeding program has to take into consideration the influence of the genotype × environment (GE) interactions and the correlations of important traits. This is because the growing areas are now located worldwide while the breeding is still done in temperate regions. The main purpose of multi-environment trials (METs) is to observe stability of genotypes across the environments, the identification of superior genotypes and of the location that best represents the target environment for production.
The objectives of this study were to: (i) evaluate the genetic variation and heritability of the most relevant agro-physiological characteristics of new durum wheat breeding lines and check cultivars, (ii) identify traits contributing to drought tolerance in the genetic materials and (iii) identify durum wheat genotypes with high and stable yield across different moisture stress conditions.
The experiments were conducted at the Dryland Agricultural Research Institute (DARI) Sararood station, Kermanshah, Iran (34°19′ N; 47°17′ E; 1351 m a.s.l.) that represent areas with moderate cold conditions. This research station is located in the west of Iran with annual month averages of minimum and maximum temperature of −15 and 45 °C, respectively, and 60–100 days of freezing temperatures annually. The average long-term annual precipitation is estimated to 425 mm. The soil at the station is clay loam.
The study included 17 wheat genotypes consisting of one modern durum cultivar (G1; Saji), one old durum variety (G2; Zardak), one old bread wheat variety (G3; Sardari) as check genotypes and 14 promising durum breeding lines (G4–G17) selected, based on agronomic performance, from the national durum wheat breeding program of Iran. Among the check genotypes, Sardari is a local bread wheat genotype which has been grown on a large scale in rainfed cold and moderate cold regions for 40 years in Iran. Similarly, Zardak landrace is a local durum old variety with very limited cultivation area in the past. The modern durum cultivar (Saji) is an outstanding durum wheat cultivar, released by the DARI, for rainfed and supplemental irrigation conditions in moderate cold and warm regions of Iran, and is well appreciated by farmers. It is a high yielding cultivar with stable performance and tolerant to drought, high pasta quality, and resistance to lodging and leaf diseases.
To evaluate the genotypes for drought tolerance under dryland conditions, we carried out two field experiments under rainfed (Ys) and supplemental irrigation (Yp) conditions during three cropping seasons of 2011–2012, 2012–2013 and 2013–2014. Irrigated experiments received two irrigations, each with 25 mm using sprinkler system, at anthesis to mid-grain filling period, to mitigate terminal drought stress in the study.
At each cropping season, experimental layout was a randomized complete block design with three replications. Plot size was 7.2 m2 (6 rows, 6 m long and 0.2 m row spacing). Fertilizer rate was 50 kg•N•ha−1 and 50 kg P2O5 ha−1 applied at planting. Recommended management practices for each trial were followed in all the experiments.
The morpho-physiological traits data were recorded on randomly selected five representative plants in all the genotypes in each replication. The SPAD reading was recorded for three flag leaves in each plot by the SPAD chlorophyll meter (Minolta Co. Ltd., Tokyo, Japan). The recording of observations for morphological traits included: plant height (PH), peduncle length (PL), peduncle extrusion (PE), flag-leaf length (FL), spike length (SL), days to heading (DH), days to maturity (DM), grain yield (YLD), 1000-kernel weight (TKW) and number of gain per spike (NGPS). Heading date was recorded as the number of days from the emergence to the time when the spikes of about 50% of the tillers had emerged from the flag leaf sheaths for approximately half of their length. Days to maturity was recorded when ~50% of the plants in a plot had yellow leaves. The plant height (distance from the ground to the tip of the spike), peduncle length (distance from upper node to the basal node of spike), peduncle extrusion length (distance from insertion of flag leaf blade to basal node of spike), flag leaf length (distance from base to tip of the flag leaf blade), spike length (distance from the base to the end of spike) and NGPS (The number of grains per spike) were measured based on five randomly samples for each genotype at physiological maturity. After harvest, the TKW was recorded based on weight of 1000 grains for each genotype. The plot yields were converted to productivity per hectare (kg•ha−1) and subjected to statistical analyses.
A combined analysis of variance (ANOVA) for the grain yield data and other studied traits were performed using MSTAT-C software (Michigan State University, Michigan, USA) to determine the effects of year, moisture condition, genotype, and all possible interactions between these factors. The effects of moisture condition and genotypes were considered as fixed effects, and years and replications were considered as random effects.
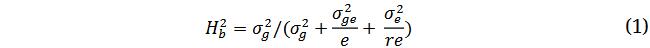
The broad-sense heritabilities were calculated for each trait in single and across environments using the following equation [15]:

where
= genotypic variance,
= GE interaction variance,
= environmental variance, r = number of replications, and e = number of environments.
A drought stress tolerance index (STI), which combines the relative performance of a genotype under drought with its potential yield under irrigated conditions, was estimated for each genotype according to Fernandez [16],

where YS and YI are the genotype mean yield under drought and irrigation conditions, respectively, and
and
are the mean yield of all genotypes growing under drought and irrigated conditions, respectively. STI was calculated only for grain yield and a cut-off value of STI to determine the tolerant from susceptible lines to drought stress was applied.
To assess how much each trait contributed to drought tolerance, multiple linear regressions of the traits, with STI as the dependent variable, were performed for each level of drought stress conditions. Pearson correlation coefficients between the phenotypic traits were calculated per environment and over the environments to give a measure of the strength of linear association and a cluster and discriminate analyses using SPSS software (Ver., 21).
To determine the effects of GE interaction on grain yield and other studied traits the genotype plus genotype × environments interaction (GGE) biplot and the genotype by trait (GT) biplot, which graphically display genotype by environment data and genotype by trait data, respectively, were applied to facilitate genotype evaluation on the basis of MET data and multiple traits [17–19]. The GGE and GT biplots analysis were done using GenStat 15th edition (VSN International, Ltd, Hemel Hempstead, UK).
The amount and distribution of rainfall differed from year to year (Supplementary Figure S1), which caused contrasting growing conditions and therefore a range of yield potentialities under rainfed conditions. Rainfall distribution pattern considerably varied among years, and genotypes were exposed to different levels of drought stress. The growing conditions were characterized by lower rainfall (302.9, 394.3 and 401.3 mm, in 2011–12, 2012–2013 and 2013–2014 seasons, respectively) when compared with the long-term average rainfall (425 mm). Significant variation in average temperature was also observed among cropping seasons, in which the winter 2012–2013 season was considerably warmer than the other two seasons. In the three cropping seasons, drought and high temperature are key stress factors during the post-heading (i.e., during anthesis and grain-filling stages of growth), with high potential impact on crop yield. This phenomenon often shortened grain filling period, reducing grain weight and consequently grain yield in wheat experiments under rainfed conditions of Iran.
Pearson correlation coefficients were calculated between grain yields and monthly and overall rainfall and average temperatures across three cropping seasons to give a better picture about the effect of monthly distribution of rainfall as well as temperature on crop productivity (Table 1). The total rainfall under Mediterranean condition was not significantly correlated to yield (r = −0.16), as can be supported by the same total rainfall of 2012–2013 and 2013–2014 seasons (394.3 and 401.3 mm, respectively), but with remarkable difference in mean productivity (897 vs 3175 kg/ha). Rainfall in February, March and April was positively correlated with crop productivity, while the rainfall in these months was the least in 2012–2013 in compared to those in the other seasons (Supplementary Figure S1). The wheat growth stages of tillering and stem elongation generally coincided with the period from February to April. The low rainfall in February also coincided with a remarkable rise of temperature in 2012–2013. The low rainfall and high temperature in 2012–2013 caused a severe drought stress condition for crop growth leading to a remarkable loss in productivity.
Combined ANOVA across years and moisture levels of all the studied traits revealed significant effects (P < 0.01) for the year (except for NGPS and SPAD reading), moisture condition (except for PH and SL), year × moisture condition (except for SPAD reading), genotype (except for TKW), genotype × year interaction (except for TKW, NGPS, PH, FL, and SPAD reading), and genotype × moisture condition (except for TKW and FL) (Table 2). The relative magnitudes of different sources of variation varied greatly, as indicated by the variance components expressed as percentages of total variation. For example, 40.3% of the total variation in grain yield was explained by differences in moisture condition, 16.5% by differences among years, 14.2% explained by year × moisture condition, 4.6% by genotype × year interaction, 2.6% by genotype × moisture condition, 1.9% by genotype, 1.9% by genotype × year × moisture condition, and the remaining variation was attributed to error.
The coefficient of variation (CV) for the investigated traits across environments varied between 0.4% (corresponding to heading date) to 24.8% (corresponding to peduncle extrusion) (Supplementary Table S1). The CV for grain yield (18.9%), NGPS (18.7%) and TKW (17.7%) were slightly higher than for the other studied traits. The heritabilities for grain yield and studied traits varied between 0.32 (corresponding to TKW) to 0.96 (corresponding to heading date) across the environments (Table 3). The heritability of grain yield over the environments was relatively low (H2b = 46.8%) indicating the influence of environment on grain yield. For other traits, the heritabilities were high indicating that selection can be efficient at any of the environments. Thus, these traits can be confirmed at the breeding site. High estimates of heritabilities observed for heading date and other traits i.e., PH, SL, SPAD-reading and DM were an indicator that these traits have a strong genetic component with not much environmental influence. Thus, these high heritabilities make a good basis for further genetic analysis. The analysis of variance components showed that these traits had a considerably higher genetic variance component than the GE interaction component, with the low ratio of σ2ge/σ2g indicating that there is only a very small contribution of the interaction for these traits.
Descriptive statistics such as mean, range, standard error, CV and H2b for grain yield and the morpho-physiological characteristics of the 17 tested genotypes in each environment are presented in Table 2. The mean ± SE (standard error) of heading date for genotypes varied between 172 ± 0.69 and 180 ± 0.38 days over the environments. The CV values varied between 1% and 2%, while heritabilities ranged from 0.88 (correspond to environment Y2_RF, severe condition) to 0.99 (correspond to environment Y1_RF).
The mean values of days to maturity for genotypes varied between 202 ± 0.55 (environment Y1_RF) and 227 ± 0.29 (environment Y2_RF). The CV values for days to maturity varied between 1% and 2% among environments and the heritabilities were between 0.28 (environment Y2_IR) and 0.96 (environment Y1_IR). The mean of SPAD reading for genotypes were comparable at 50.9 ± 0.92 (corresponding to environment Y2_RF) to 53.3 ± 0.84 (corresponding to environment Y2_IR), but the heritabilities varied from 0.52 at environment Y3_IR to 0.81 at environment Y1_RF. The CV values for SPAD reading varied between 5% and 8% among environments. The mean of flag-leaf length across environments ranged from 13.7 ± 0.40 (environment Y2_RF) and 17.4 ± 0.46 cm (environment Y3_RF). Heritability estimates among the environments for flag-leaf length ranged from 0.13 (environment Y2_RF) to 0.73 (environment Y1_IR) and the CVs varied from 9% to 18% among environments.
The mean of peduncle extrusion was the least (7.8 ± 0.61 cm) at severely stressed condition (environment Y2_RF) and was the highest (19.1 ± 0.95 cm) at environment Y3_RF. High variation was observed for heritability of peduncle extrusion across environments and varied between 0.1 and 0.85 and the CV values ranged from 16% to 33% across environments. The mean of peduncle length for genotypes was between 21.3 ± 0.87 at environment Y2_RF and 37.5 ± 1.29 at environment Y3_RF. The estimates of heritability for peduncle length were between 0.15 and 0.88 among environments and the CV values ranged from 9% to 23%. The mean values for spike length varied between 5.7 ± 0.12 cm (environment Y3_RF) to 7.5 ± 0.15 cm (environment Y1_RF) across environments. The highest heritability (H2b = 0.91) for spike length was observed at Y2_IR and the lowest value (H2b = 0.34) was at environment Y3_RF. The CV values for spike length were between 7% and 12% across environments.
The mean value of plant height was the least (56.7 ± 1.58 cm) at severe condition (environment Y2_RF) and the highest (76.2 ± 2.10) at environment Y3_RF. The heritability estimates among the environments varied between 0.49 and 0.93, while CV values were between 5-11% across environments.
The mean of NGPS varied from 27.1 ± 1.15 at severe condition (environment Y2_RF) to 38.4 ± 1.44 at environment Y2_IR. The highest heritability (H2b = 0.76) for NGPS was observed at environment Y1_IR and the least one (H2b = 0.05) was found at Y1_RF, while CV values for NGPS ranged from 13% to 30% across environments. The mean of TKW values ranged between 24.0 ± 0.85 g at severe condition (environment Y2_RF) to 43.8 ± 0.84 g at Y1_IR. The highest heritability (H2b = 0.55) for TKW was observed at environment Y1_RF and the lowest (H2b = 0.12) was at Y1_IR, and the CV values for TKW were between 9% and 38% across environments.
The mean yields of genotypes varied between 897.5 ± 81.6 kg/ha under severe water stress (environment Y2_RF) and 3791.3 ± 186.5 kg/ha (correspond to environment Y1_IR) among environments. The highest heritability (H2b = 0.89) for yield was observed at environment Y2_RF and the lowest (H2b = 0.19) was observed at environment Y3_IR. The CV values for grain yield ranged from 12% to 23% across environments.
Genotypes differed for grain yield (P < 0.01) under both moisture conditions. Grain yields of individual genotypes at each moisture condition are presented in Table 3, showing high genotypes rank changes across environments. Under moderate drought stress condition (2011–2012), genotypes G9, G12, G16 and G17, were performing well in both conditions, whereas G2, G3, G5 and G6 were consistently low yielding. In a few cases, specific adaptation responses led to significant (P < 0.01) genotype × moisture condition interaction of crossover type according to LSD based paired comparisons within conditions. An example for such interaction was shown by G9, G12 and G16, top-yielding genotypes under favorable conditions (Table 3). Also, the modern check cultivar (Saji) was out-yielded by the breeding lines G8, G9, G11, G12, G13, G14, G15, G16 and G17. These breeding lines with high STI values were found to be most tolerant to moderate drought stressed conditions. Under severe drought condition (2012–2013) the modern check cultivar was out-yielded only by the breeding line G13, a top yielding genotype under both rainfed and irrigated conditions, resulting in high tolerance to severe drought condition. Under mild drought stress condition (2013–2014), the genotypes superior to the modern check cultivar, were G3, G9, G10 and G15 under both moisture conditions. These genotypes with high drought tolerance were better adapted to mild drought conditions.
The breeding lines G9, G10, G12, G13, G15, G16 and G17 were among the most tolerant genotypes according to the STI (Table 3) and their high index values is explained by high yield potential under both moisture conditions. The breeding line G13 featured the high index value under severe condition while other mentioned genotypes were more tolerant to mild or moderate stress conditions (Table 3). The crop performance and morpho-physiological characteristics were better in favorable condition than under stressed condition (Supplementary Table S2). Some drought-susceptible lines nearly failed to produce grain yield under stress, where the best-yielding genotype displayed over three-fold higher grain yield than the worst one (Table 3).
Pearson correlation coefficients between STI, grain yield and other morpho-physiological traits for all levels of drought stress conditions are given in Table 4. All yields under drought and irrigated (data not presented) conditions were associated with STI (P < 0.01) in all levels of stress, but not all the traits were associated with STI. Under moderate drought stress condition, heading date was negatively correlated with STI, while SPAD-reading and peduncle extrusion were positively associated (P < 0.05) with STI. In contrast, under severe drought stress condition, heading date was the only trait associated (P < 0.05) with STI. Heading date also was the only trait that had the highest correlation with STI and yield under mild drought condition (Table 4). The heading date was most correlated with drought tolerance across different levels of drought stress conditions. Heading date, in addition to yield, were negatively correlated (P < 0.01) with peduncle extrusion, peduncle length and TKW (P < 0.05), showing that the genotypes early in heading tend to have high peduncle length and high grain weight under drought condition (Table 4). However, a moderately negative correlation was observed between STI and heading date across conditions (P < 0.05), confirming that stress escape via earlier heading contributed to greater drought tolerance in the genotypes.
To understand how much each trait contributed to drought tolerance under rainfed condition, multiple linear regressions of the traits with STI, as the dependent variable, were performed for each level of drought stress condition (Table 5). The R2 of the multiple regressions corresponded to the drought tolerance that is explained by the regression, where the best regression being the one with the smallest residual. Under moderate drought stress the traits of PL, TKW, PH and DM have significantly (P < 0.01) contributed to drought tolerance in the experiment. The model explained 85.5% of total variation; in which PL and TKW with positive coefficients and PH and DM with negative coefficients significantly contributed to drought tolerance (Table 5). Thus, the combination of these four traits may be recommended to maximize drought tolerance in tested genotypes. Under severe drought condition, the minimum residual was 68%, significant only for one of the studied traits (i.e., heading date). Heading date significantly (P < 0.01) contributed to the drought tolerance and was recommended for maximizing productivity under severe drought conditions. Under mild drought condition, the drought tolerance model was significantly influenced by plant height, peduncle length (P < 0.05) and SPAD reading (P < 0.10). The combination of these three traits explained 35.7% of total variation (Table 5).
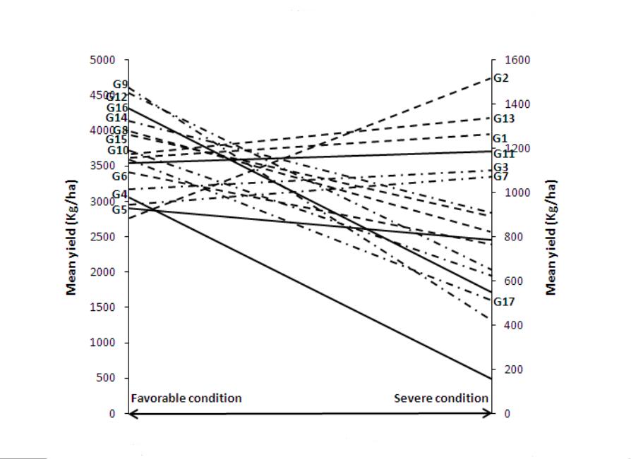
Genotypes significantly differed for grain yield (P < 0.01; Table 2) under both favorable and severe drought conditions. Grain yields of individual genotypes in each condition are reported in Figure 1 as relative yields over the condition mean value, to enable a better display of genotype × moisture condition interaction effects by keeping the same scale for the two yield axes despite the great yield differences between conditions. Genotypes G13, G1 and G11, were well performing in both moisture conditions, whereas genotype G5 was consistently lower yielding across both conditions. Genotypes G2, G13 and G1 performed well under severe drought conditions and tended to be early in heading. However, three phenological groups of genotypes could be identified, with extreme heading dates separated by LSD (Supplementary Table S2) and mean heading dates were different according to ANOVA. The early heading (range of heading date between 173 and 175 day from January; with mean value of 174 day), intermediate (with range values between 176 and 178 day and mean value of 176 day) and late heading (with range values between 179 and 180 day and mean value of 180 day) groups are indicated by distinct line patterns in Figure 1.
Genotypes with late heading tended to display lower grain yield in both conditions along with relatively worse performance under stress. Negative correlation (P < 0.05) between heading date and grain yield was much higher under favorable (r = −0.59; P < 0.05) than under stress conditions (r = −0.46; Table 4). The genotype adaptive responses reported in Figure 1 suggested large inconsistency across extreme conditions within a given phenological class. The results suggest that the early-heading group (genotypes G2, G13 and G1), might be of special interest for drought-prone regions. The which-won-where view of GT biplot (Figure 2) allowed to identify genotypes with higher values for each trait in the respective sector. Genotype G10 presented high values for grain yield and SPAD-reading. G8 had high values for PL and PE. G3 had high values for PH and SL; G5 had high values for DH, TKW, DM and FL and G13 had high value of NGPS. According to the biplot, genotypes G10, G8, G3, G5, and G13 presented superior performance for different sets of traits.
Figure 2. Which-won-where view of the genotype by trait (GT) biplot to highlight genotypes with outstanding profiles. The G1–G17 stands for the genotypes code and are the same as for Table 3. YLD: grain yield; TKW: 1000-kernel weight; NGPS: number of grain per spike; PH: plant height; SL: spike length; PL: peduncle length; PE: peduncle extrusion; FL: flag-leaf length; SPAD: Chlorophyll content or SPAD-reading; DH: days to heading; DM: days to maturity.
Figure 3 is a GT biplot that shows the relationships among studied traits averaged across different moisture stress conditions. The GT biplot (Figure 3) display 63.85% of the information in the standardized data of the 17 genotypes for the 11 studied traits across different moisture stress conditions. A correlation coefficient between any two traits can be approximated by the cosine of the angle between their vectors [18]. In the GT biplot, vectors are drawn from the biplot origin to markers of the traits to facilitate visualization of the relationships among the traits. These biplots can be visualized from two perspectives. First, they show the associations among the traits across genotypes. Second, they show the trait profiles of the genotypes, particularly those that are placed farther away from the biplot origin [19]. Positive correlations were found between yield and SPAD reading and NGPS, as indicated by the acute angle between their vectors (Figure 3). These traits were negatively associated with DH, PH and SL, indicating that selection for earliness, shorter plant height and spike length directly enhanced the productivity under the drought condition. Positive correlations were observed between DM and FL, as well as between PL and PE, and between PH and SL as indicated by the acute angles between their vectors. A negative association existed for TKW with NGPS, YLD, SPAD, PL and PE, as indicated by the obtuse angles between vectors of these five traits and that of TKW (Figure 3). These negative associations appeared to be strong because the traits had long vectors. No relations were found between TKW with DM and SL, as indicated by the right angles between their vectors.
Figure 3. GT biplot showing relationship among traits across different moisture stress conditions. The G1–G17 stands for the genotypes code and are the same as for Table 3. YLD: grain yield; TKW: 1000-kernel weight; NGPS: number of grain per spike; PH: plant height; SL: spike length; PL: peduncle length; PE: peduncle extrusion; FL: flag-leaf length; SPAD: Chlorophyll content or SPAD-reading; DH: days to heading; DM: days to maturity.
The GT biplot in Figure 4 also shows the trait profiles of the genotypes, the accuracy of which depends on the goodness of fit of the biplot (goodness of fit for the biplot was 63.85%). For example, it shows that G16 and G10 had high grain yield and SPAD-reading, were earlier in heading, and had short plant height and spike length; G3 had high PH, SL and high days to maturity, and low NGPS and grain yield; G13 had a trait profile quite opposite to that of G3.
Figure 4. Polygon view of GGE biplot showing ‘‘which won where’’ pattern for genotypes and environments. The G1–G17 stands for the genotypes code and are the same as for Table 3. Y1_RF and Y1_IR stand for rainfed and supplemental irrigation conditions in 2011–2012; Y2_RF and Y2_IR represent for rainfed and supplemental irrigation conditions in 2012–2013; Y3_RF and Y3_IR for rainfed and supplemental irrigation conditions in 2013–2014.
One of the most attractive features of a GGE biplot is its ability to show the which-won-where pattern of a genotype by environment dataset (Figure 4). The GGE biplot indicates the best performing genotype in each environment and group of environments (Figure 4). The polygon is formed by connecting the scores of the genotypes furthest from the origin, with all remaining genotypes within it, and indicates "which genotypes won where" based on their association with the environment scores. The genotype at the vertex of the polygon performs best in the environment falling within the sectors [17,19]. The biplot revealed the existence of GE crossover as well as mega-environment for grain yield. The octagon has eight genotypes consisting of G17, G16, G12, G9, G6, G3, G2 and G5 at the vertices. The G17 performed best in Y1_IR and Y3_IR, while G9 being the best in Y_IR and Y1_RF. G2 performed best in Y2_RF and Y3_RF. The biplot is effectively divided into eight sectors by the equality lines, of which three retained all the environments. Thus, the testing environments may be partitioned into three mega-environments: one mega-environment comprise of Y1_IR and Y3_IR with G17 as the winning genotype. Second mega-environment was represented by Y_IR and Y1_RF with G2 as the winning genotype, while last mega-environment encompassed Y2_RF and Y3_RF with G2 as the winning genotype (Figure 4). A specific option in GGE-biplot analysis allows integrating yield with stability performance among a set of genotypes tested in MET data. Figure 5 shows the ranking of 17 genotypes based on their mean yield and stability performance across diversified environments. The line passing through the biplot origin is called the average environment coordinate (AEC) abscissa, which is defined by the average PC1 and PC2 scores of all environments [18]. The line which passes through the origin and is perpendicular to the AEC abscissa named AEC ordinate represents the stability of genotypes [19]. Either direction away from the biplot origin, on this axis, indicates greater GE interaction and reduced stability [17]. Genotype G16 followed by G12, G15 and G10 with the highest yield and stability performance can be considered as genotypes with high yield and stability performance. The other genotypes on the right side of the ordinate line have yield performance greater than mean yield and those genotypes on the left side of ordinate line had lesser yield than mean. The check genotypes had lower yield than the overall mean. These results show that most of the breeding lines were more stable and performed better than the checks. These results also confirm the superiority of G16, G12, G15 and G10 over modern check cultivar (G1) and they can be considered for commercial release under different moisture stress conditions.
Figure 5. GGE biplot ranking of genotypes based on both mean and stability. The G1–G17 stands for the genotypes code and are the same as for Table 3. Y1_RF and Y1_IR stand for rainfed and supplemental irrigation conditions in 2011–2012; Y2_RF and Y2_IR represent for rainfed and supplemental irrigation conditions in 2012–2013; Y3_RF and Y3_IR for rainfed and supplemental irrigation conditions in 2013–2014.
The presence of different levels of moisture stress condition (from severe to favorable conditions) across three years allowed for a reliable assessment of germplasm variation for drought tolerance in terms of genotype × condition interaction and extent of genetic correlation for genotype yield responses across conditions. According to Fischer and Maurer [20], the imposed drought stress was severe with drought sensitivity index (SI) equal to 0.76 (on a scale ranging from 1 for greatest stress to 0 for no stress), as well as on the basis of 75.5% reduced mean grain yield under stress relative to the favorable condition. The SI values for the other two moderate and mild conditions were also 0.34 and 0.15, respectively, corresponding to 49.5% and 15.1% reduced mean grain yield under stress relative to the favorable condition.
The very good grain yield response exhibited by various breeding lines in comparison with modern cultivar or other materials i.e., old varieties particularly Sardari bread wheat, confirms the value of new genetic materials for breeding programs under drought prone-environments. Selection for specific adaptation is recommended when targeting severely drought-prone environments on the one hand and moisture-favorable environments on the other. The results indicated wide range of genetic variability among the genotypes used for all of the studied traits, thus indicating high potential for use in trait improvement. The presence of high heritability (H2b) implied options for improvement of the traits through selection. Choosing traits with higher heritability than yield across the target environments would be useful for indirect selection, i.e., heading date, plant height, spike length, SPAD-reading, flag-leaf length, peduncle extrusion, peduncle length and number of seed per spike (Table 3). For this reason, several authors have proposed that genotype selection under the Mediterranean rainfed conditions may be improved by selecting traits associated with yield under the water stress [21,22]. The criteria for choosing a trait for indirect selection included genetic variability, easy to measure, association with the direct trait (grain yield), high heritability and low genotype × environment interaction [15,23].
The correlation analyses revealed that heading date, grain yield and peduncle length were the most important traits associated with drought tolerance. These traits, except for grain yield, also demonstrated high H2b, suggesting that heading date and peduncle length are important yield and drought tolerance contributing traits, thus selection based on these traits would be most effective particularly under moderate and severe conditions. Understanding the interaction of these traits among themselves and with the environment is of great use in wheat yield improvement. Despite the number of traits measured in the present study, a phenological trait (heading date) contributed exclusively to the improvement of drought tolerance under severe drought condition. The weak positive and non-significant correlations observed between the other traits with STI under severe drought condition could suggest that, although these traits play an important role in grain yield, they may not be a good reflection of stressed yield levels. In agreement with the significant correlation of heading date and drought tolerance, Figure 1 suggests that some genotypes take advantage of the early heading to maximize productivity under severe condition. There is therefore a need to take advantage of such promising breeding lines for adaptation to severe moisture conditions. These results provide a good practical insight and add on to previous studies supporting that earliness to heading under severe condition is more important than other scenarios of stress levels, which may need to be confirmed by other studies. Early heading, which proved controlled by flowering genes (Vrn, Ppd, or eps) in durum wheat [24], is a key adaptive trait for drought escape, but variation for inherent drought tolerance can be exploited as well within a given phenological class.
Selection for wide adaptation is possible on the basis of our results and may be justified when targeting environments less unfavorable or more variable. However, this adaptation target would require the parallel selection across drought-prone and moisture favorable environments according to the current findings. Breeding line G13 followed by G1 (Modern cultivar as already released for variable rainfed conditions) can be considered for wide adaptation across climatically contrasting environments, and this procedure was capable of ensuring some degree of drought tolerance according to the findings of this study. Many drought-adaptive traits have been investigated in wheat. However, association of these traits with genetic gains for yield under drought has been reviewed and documented [10,11]. Most difficulties encountered in the identification of accurate drought tolerance traits are due to the fact that wheat is cultivated under very different climatic conditions and faces very different drought stress scenarios worldwide [10].
Under Mediterranean conditions, the trait most used for breeding is flowering date in conjunction with yield potential, but while it is true that heading date has high merit for selection and is positively associated with yield. Ceccarelli et al. [25] have shown that different combinations of various traits can result in similar yield levels under drought stress. Hence, a trait can rarely be called indispensable in a particular stress environment, but only identified as contributing to adaptation under drought in certain situations.
This study provides evidence that some of adaptive traits studied in this research, contribute significantly to maximize yield under drought. The specific traits providing optimum adaptation and contributing to superior yield differ depending on the time and intensity of drought. Kamran et al. [26] (2014) reported that durum wheat yield can only be maximized by growing varieties which flowering time that allows the crop to escape stresses during vegetative and grain-filling periods. However, flowering time is a critical stage that delimits the duration of spike formation and marks the transition into the grain-filling period during which kernels per spike and kernel weight are defined [27]. Also, a gradual shift toward early heading has been observed over the last century of wheat breeding in countries with a Mediterranean type climate and frequent terminal droughts. This trend is predicted to continue for the wheat improvement in the coming years in response to global climate warming [28]. However, maximizing yield potential in any given environment requires optimizing the use of water, nutrients and radiation, and avoiding negative effects from any type of stress during the vegetative and grain-filling periods. Furthermore, it is postulated that one of the key contributing factors to yield in any situation is the inherent ability of a genotype to translate input into output.
Based on mean performance, GGE biplot analysis revealed that breeding lines G16, G12, G15 and G12 were the highly adapted, most stable and high yielding genotypes across different moisture stress conditions. The use of these wheat genotypes by farmers would result in stable performance under moisture stress conditions. Thus, these genotypes can also be used to identify QTLs/genes for above morpho-physiological traits contributing to drought tolerance as well as can be used as donors for breeding in drought tolerance.
The results showed that genotypes were significantly affected by moisture conditions and year effects for grain yield and other investigated plant traits resulting in considerable variation in agronomic performance and drought tolerance in the germplasm, which could be exploited for improving drought adaptation in durum wheat. Under severe drought condition, heading date was the only trait which contributed to drought tolerance in durum wheat genotypes. In addition to heading date, the traits of peduncle extrusion, plant height, days to maturity and 1000-kernel weight with lower genotype × environment interaction than grain yield, could also contribute to drought tolerance. It is concluded that these traits could aid in the selection of durum wheat subject to moderate and/or severe stress, particularly in early generations. Depending on different levels of drought stress, some breeding lines out-yielded the check cultivars under stressed or favorable conditions. On the basis of grain yield stability breeding lines G16, G12, G15 and G10 were highly adapted, most stable and high yielding across different moisture stress environments and can be used in convergent durum wheat breeding program to develop drought tolerant varieties.
RM: Performed field evaluations and data analyses and writing original draft; AA: Conceptualization edited and provided a critical review of the manuscript and approved the final manuscript.
The authors declare that there is no conflict of interest.
This research (grant number: 03-15-1508-90257) was funded by Dryland Agriculture Research Institute (DARI) of Iran.
The authors thank the three reviewers and the editor of Crop Breeding, Genetics and Genomics for providing helpful comments and corrections on earlier drafts of this manuscript.
1.
2.
3.
4.
5.
6.
7.
8.
9.
10.
11.
12.
13.
14.
15.
16.
17.
18.
19.
20.
21.
22.
23.
24.
25.
26.
27.
28.
Mohammadi R, Amri A. Agronomic Performance and Genotype × Moisture Conditions Interaction for Morpho-Physiological Traits in Durum Wheat. Crop Breed Genet Genom. 2021;3(1):e210002. https://doi.org/10.20900/cbgg20210002

Copyright © 2021 Hapres Co., Ltd. Privacy Policy | Terms and Conditions